Aller au contenu
Math Performance

Math Performance

  • Page d’exemple

Math

2 mars 2026 par Mathieu
Accueil
Test
  Mathématiques
  • 6ème
  • 5ème
  • 4ème
  • 3ème
  • 2nd
  • 1ère S
  • 1ère ES
  • Terminale S
  • Terminale ES
Physique-chime
 
  • 1ère S
  • Terminale S

MATHEMATIQUES Terminale S

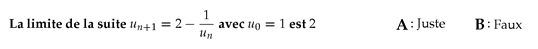
Evaluation rapide des notions de base à connaître
pour aborder la classe de Terminale S.
Cliquez sur la réponse de votre choix

Question Réponse Corrigé
?  
?  
?  
?  
?  
?  
?  
?  
?  

Catégories Methodologie
Math
Math

Articles récents

  • Clé bloquée dans le neiman de la Clio 3 : causes et solutions
  • Blog
  • Sujet et corrigé BAC S Mathématiques Liban 2011
  • Sujets, BAC 2011
  • Sujet et corrigé BAC S Mathématiques Pondichery 2010

Commentaires récents

Aucun commentaire à afficher.
© 2026 Math Performance • Construit avec GeneratePress